Официальное опубликование правовых актов
ОФИЦИАЛЬНОЕ ОПУБЛИКОВАНИЕ
Приказ Комитета по природным ресурсам Ленинградской области от 29.11.2023 № 17
"О внесении изменений в приказ комитета по природным ресурсам Ленинградской области от 01.11.2018 года № 20 "Об утверждении лесохозяйственного регламента Кировского лесничества Ленинградской области"
(Зарегистрирован 29.11.2023 № 17)
Номер опубликования: 4701202312060012
Дата опубликования: 06.12.2023
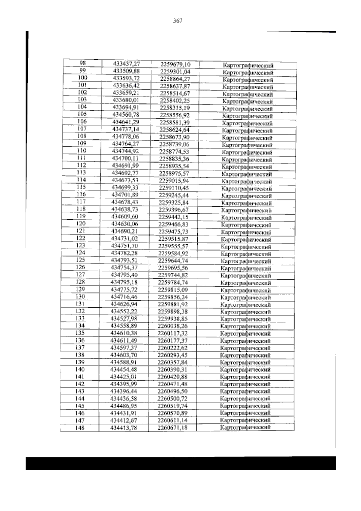
Страница №367 из 458:
Увеличить