Официальное опубликование правовых актов
ОФИЦИАЛЬНОЕ ОПУБЛИКОВАНИЕ
Приказ Комитета по социальной защите населения Ленинградской области от 31.07.2017 № 12
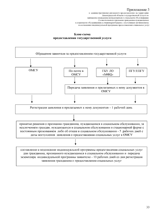
"Об утверждении административного регламента предоставления государственной услуги по признанию гражданина, нуждающимся в социальном обслуживании (за исключением признания гражданина, нуждающимся в социальном обслуживании в стационарной форме с постоянным проживанием) и составлению индивидуальной программы предоставления социальных услуг"
Номер опубликования: 4701201708030003
Дата опубликования: 03.08.2017
Страница №33 из 46:
Увеличить