Официальное опубликование правовых актов
ОФИЦИАЛЬНОЕ ОПУБЛИКОВАНИЕ
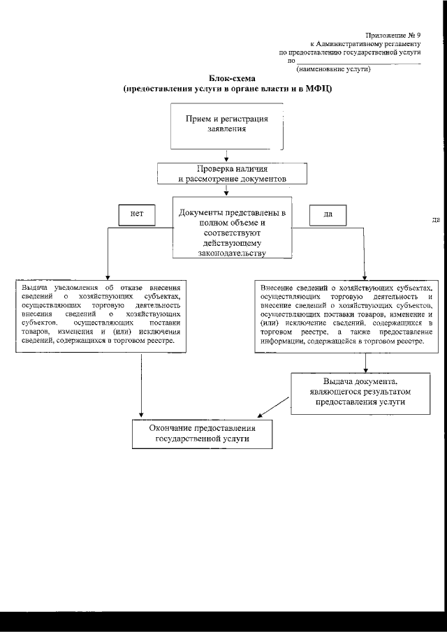
Приказ Комитета по развитию малого, среднего бизнеса и потребительского рынка Ленинградской области от 16.11.2016 № 35
"Об утверждении административного регламента предоставления государственной услуги по формированию и предоставлению информации, содержащейся в торговом реестре"
Номер опубликования: 4701201611180010
Дата опубликования: 18.11.2016
Страница №33 из 36:
Увеличить