Официальное опубликование правовых актов
ОФИЦИАЛЬНОЕ ОПУБЛИКОВАНИЕ
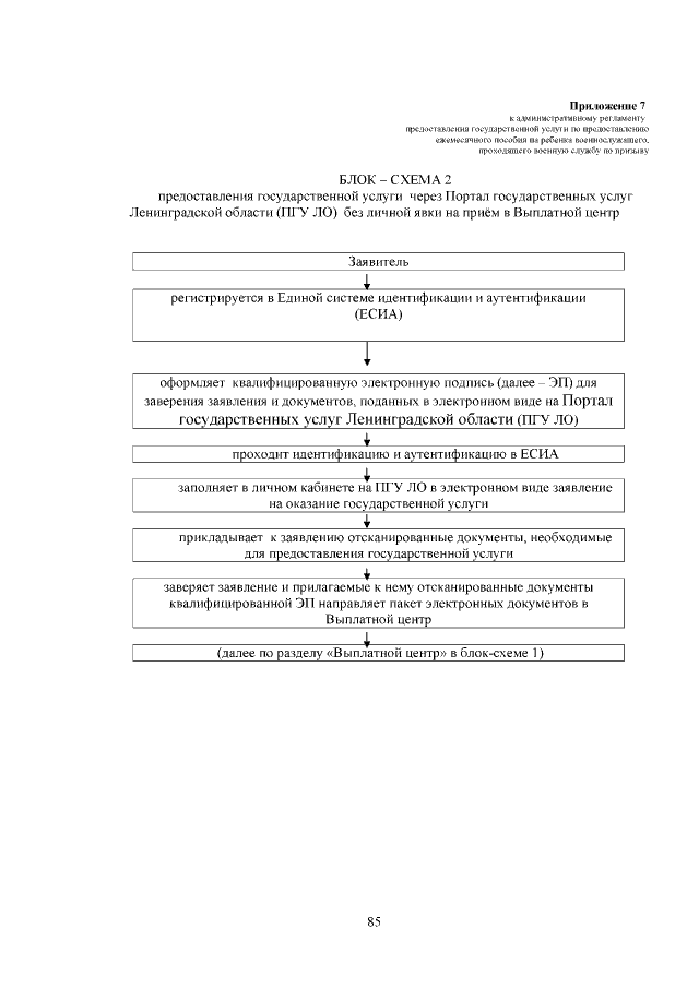
Приказ Комитета по социальной защите населения Ленинградской области от 26.04.2016 № 16
"Об утверждении административных регламентов"
Номер опубликования: 4701201604290004
Дата опубликования: 29.04.2016
Страница №85 из 87:
Увеличить