Официальное опубликование правовых актов
ОФИЦИАЛЬНОЕ ОПУБЛИКОВАНИЕ
Приказ Комитета по природным ресурсам Ленинградской области от 10.11.2015 № 65
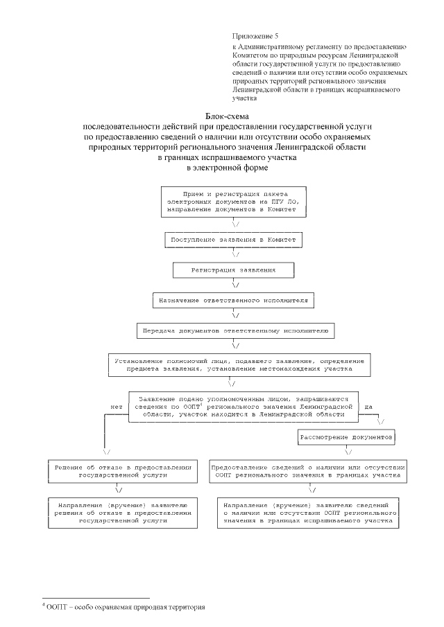
"О внесении изменений в приказ Комитета по природным ресурсам Ленинградской области от 18 марта 2013 года "Об утверждении административного регламента по предоставлению Комитетом по природным ресурсам Ленинградской области государственной услуги по предоставлению сведений о наличии или отсутствии особо охраняемых природных территорий регионального значения Ленинградской области в границах испрашиваемого участка"
Номер опубликования: 4701201511170003
Дата опубликования: 17.11.2015
Страница №37 из 37:
Увеличить