Официальное опубликование правовых актов
ОФИЦИАЛЬНОЕ ОПУБЛИКОВАНИЕ
Приказ Комитета по социальной защите населения Ленинградской области от 06.11.2015 № 29
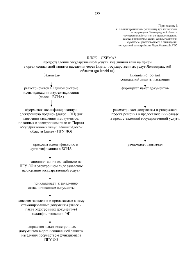
"О внесении изменений в приказ комитета по социальной защите населения Ленинградской области от 10 августа 2015 года №10 "Об утверждении административных регламентов предоставления на территории Ленинградской области государственных услуг по предоставлению гражданам, подвергшимся воздействию радиации, компенсаций и иных выплат"
Номер опубликования: 4701201511130004
Дата опубликования: 13.11.2015
Страница №175 из 220:
Увеличить