Официальное опубликование правовых актов
ОФИЦИАЛЬНОЕ ОПУБЛИКОВАНИЕ
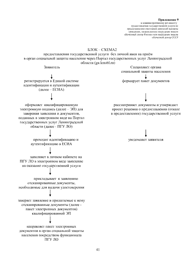
Приказ Комитета по социальной защите населения Ленинградской области от 31.08.2015 № 16
"Об утверждении административного регламента предоставления на территории Ленинградской области государственной услуги по предоставлению ежегодной денежной выплаты гражданам, награжденным нагрудным знаком "Почетный донор России" или нагрудным знаком "Почетный донор СССР"
Номер опубликования: 4701201509090001
Дата опубликования: 09.09.2015
Страница №43 из 45:
Увеличить