Официальное опубликование правовых актов
ОФИЦИАЛЬНОЕ ОПУБЛИКОВАНИЕ
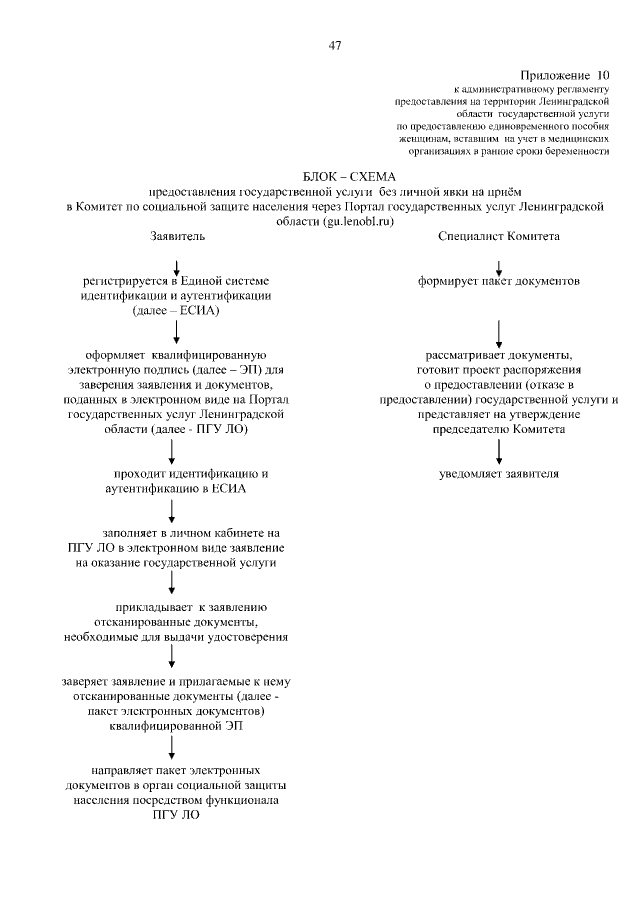
Приказ Комитета по социальной защите населения Ленинградской области от 31.08.2015 № 17
"Об утверждении административных регламентов предоставления на территории Ленинградской области государственных услуг по предоставлению беременным женщинам отдельных видов государственных пособий"
Номер опубликования: 4701201509040007
Дата опубликования: 04.09.2015
Страница №95 из 97:
Увеличить