Официальное опубликование правовых актов
ОФИЦИАЛЬНОЕ ОПУБЛИКОВАНИЕ
Постановление Правительства Ленинградской области от 27.02.2026 № 161
"О внесении изменений в Генеральный план муниципального образования Пениковское сельское поселение муниципального образования Ломоносовский муниципальный район Ленинградской области применительно к деревне Малое Коновалово, деревне Лангерево"
Номер опубликования: 4700202603040003
Дата опубликования: 04.03.2026
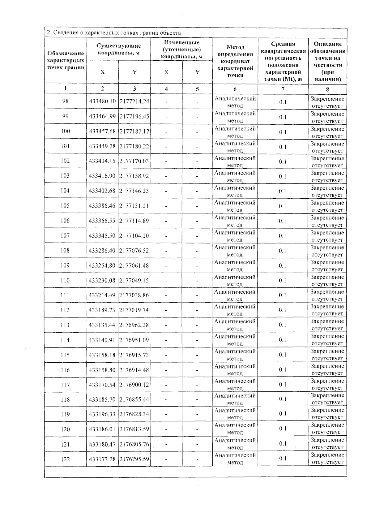
Страница №38 из 47:
Увеличить