Официальное опубликование правовых актов
ОФИЦИАЛЬНОЕ ОПУБЛИКОВАНИЕ
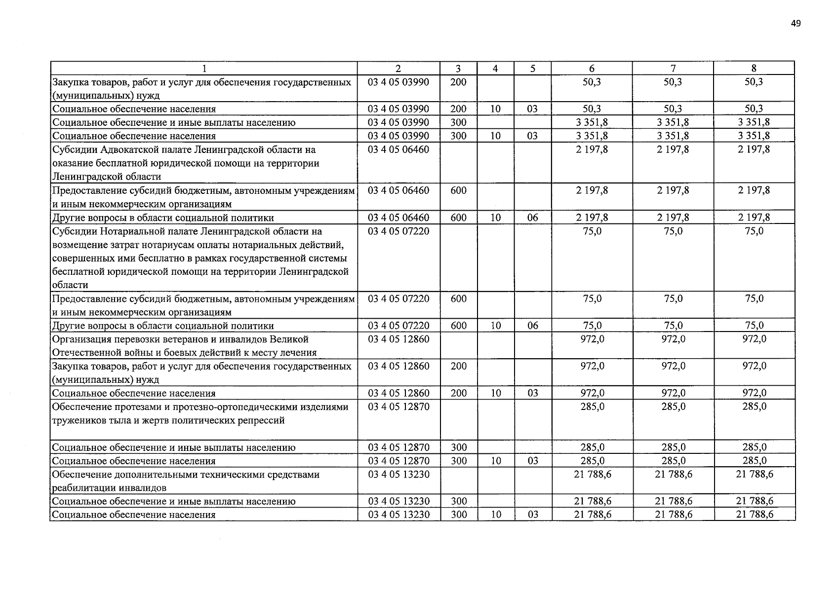
Закон Ленинградской области от 22.12.2025 № 173-оз
"Об областном бюджете Ленинградской области на 2026 год и на плановый период 2027 и 2028 годов"
Номер опубликования: 4700202512230017
Дата опубликования: 23.12.2025
Страница №81 из 567:
Увеличить