Официальное опубликование правовых актов
ОФИЦИАЛЬНОЕ ОПУБЛИКОВАНИЕ
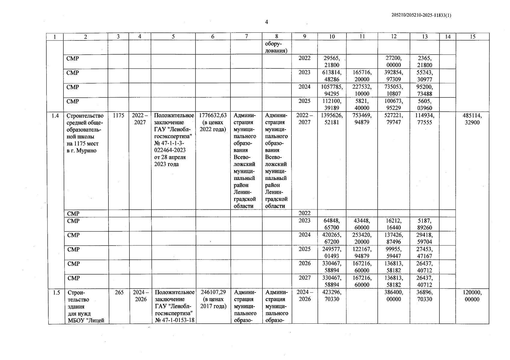
Постановление Правительства Ленинградской области от 18.12.2025 № 1064
"О внесении изменений в постановление Правительства Ленинградской области от 2 февраля 2022 года № 66"
Номер опубликования: 4700202512230001
Дата опубликования: 23.12.2025
Страница №6 из 40:
Увеличить