Официальное опубликование правовых актов
ОФИЦИАЛЬНОЕ ОПУБЛИКОВАНИЕ
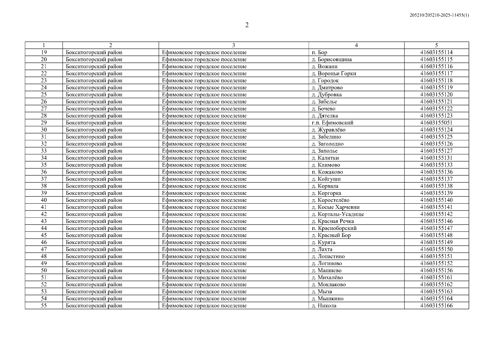
Постановление Правительства Ленинградской области от 12.12.2025 № 1048
"О внесении изменений в постановление Правительства Ленинградской области от 28 февраля 2023 года № 124 "Об утверждении перечней опорных населенных пунктов, населенных пунктов, расположенных на прилегающих территориях, сельских агломераций и сельских территорий Ленинградской области и о внесении изменения в постановление Правительства Ленинградской области от 27 декабря 2019 года № 636 "О государственной программе Ленинградской области "Комплексное развитие сельских территорий Ленинградской области"
Номер опубликования: 4700202512180004
Дата опубликования: 18.12.2025
Страница №100 из 177:
Увеличить