Официальное опубликование правовых актов
ОФИЦИАЛЬНОЕ ОПУБЛИКОВАНИЕ
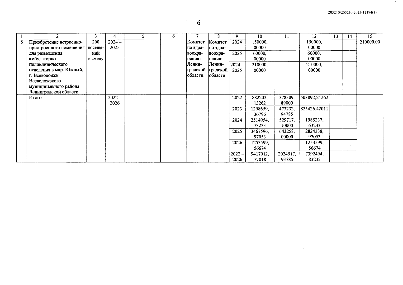
Постановление Правительства Ленинградской области от 05.12.2025 № 1027
"О внесении изменения в постановление Правительства Ленинградской области от 18 июля 2016 года № 245 "Об утверждении Перечня объектов государственной программы Ленинградской области "Развитие здравоохранения в Ленинградской области"
Номер опубликования: 4700202512110002
Дата опубликования: 11.12.2025
Страница №7 из 7:
Увеличить