Официальное опубликование правовых актов
ОФИЦИАЛЬНОЕ ОПУБЛИКОВАНИЕ
Постановление Правительства Ленинградской области от 03.12.2025 № 1014
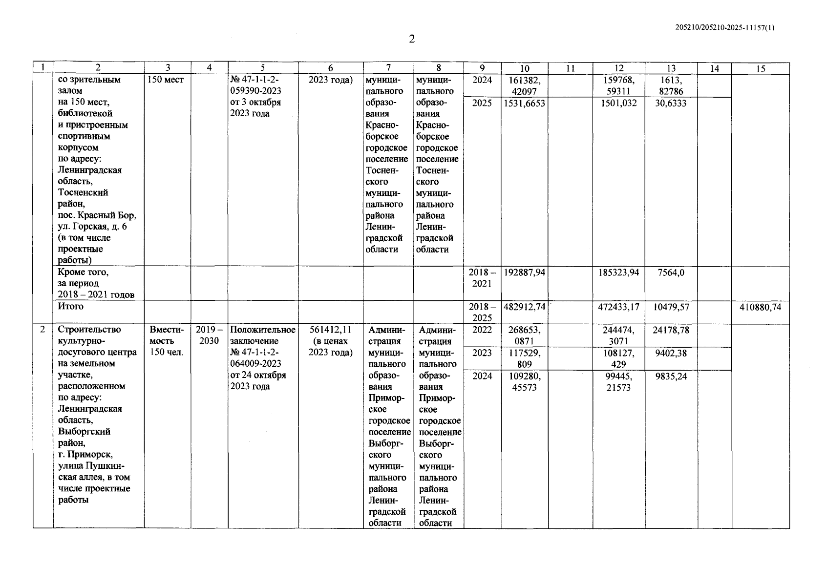
"О внесении изменений в постановление Правительства Ленинградской области от 25 августа 2016 года № 322 "Об утверждении Перечня объектов государственной программы Ленинградской области "Развитие культуры в Ленинградской области" и о распределении субсидий между муниципальными образованиями в рамках государственной программы "Развитие культуры в Ленинградской области"
Номер опубликования: 4700202512080007
Дата опубликования: 08.12.2025
Страница №3 из 9:
Увеличить