Официальное опубликование правовых актов
ОФИЦИАЛЬНОЕ ОПУБЛИКОВАНИЕ
Постановление Правительства Ленинградской области от 30.10.2025 № 918
"О внесении изменений в Генеральный план Доможировского сельского поселения Лодейнопольского муниципального района Ленинградской области"
Номер опубликования: 4700202511050006
Дата опубликования: 05.11.2025
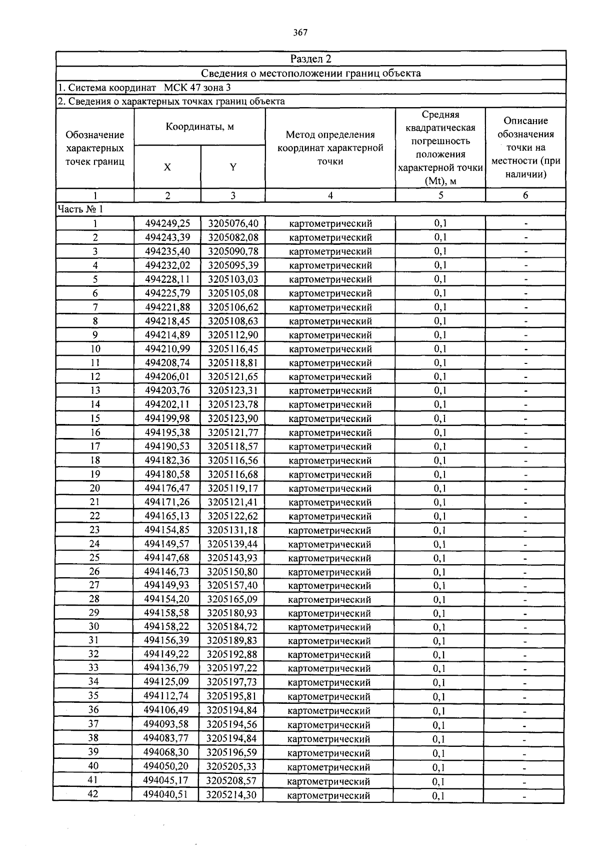
Страница №387 из 423:
Увеличить