Официальное опубликование правовых актов
ОФИЦИАЛЬНОЕ ОПУБЛИКОВАНИЕ
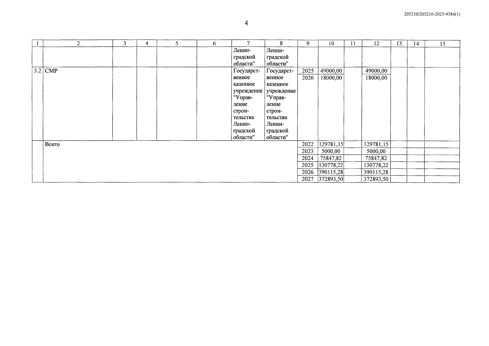
Постановление Правительства Ленинградской области от 20.10.2025 № 882
"О внесении изменения в постановление Правительства Ленинградской области от 30 августа 2024 года № 599 "Об утверждении Перечня объектов государственной программы Ленинградской области "Устойчивое общественное развитие в Ленинградской области"
Номер опубликования: 4700202510270007
Дата опубликования: 27.10.2025
Страница №5 из 5:
Увеличить