Официальное опубликование правовых актов
ОФИЦИАЛЬНОЕ ОПУБЛИКОВАНИЕ
Постановление Правительства Ленинградской области от 15.10.2025 № 871
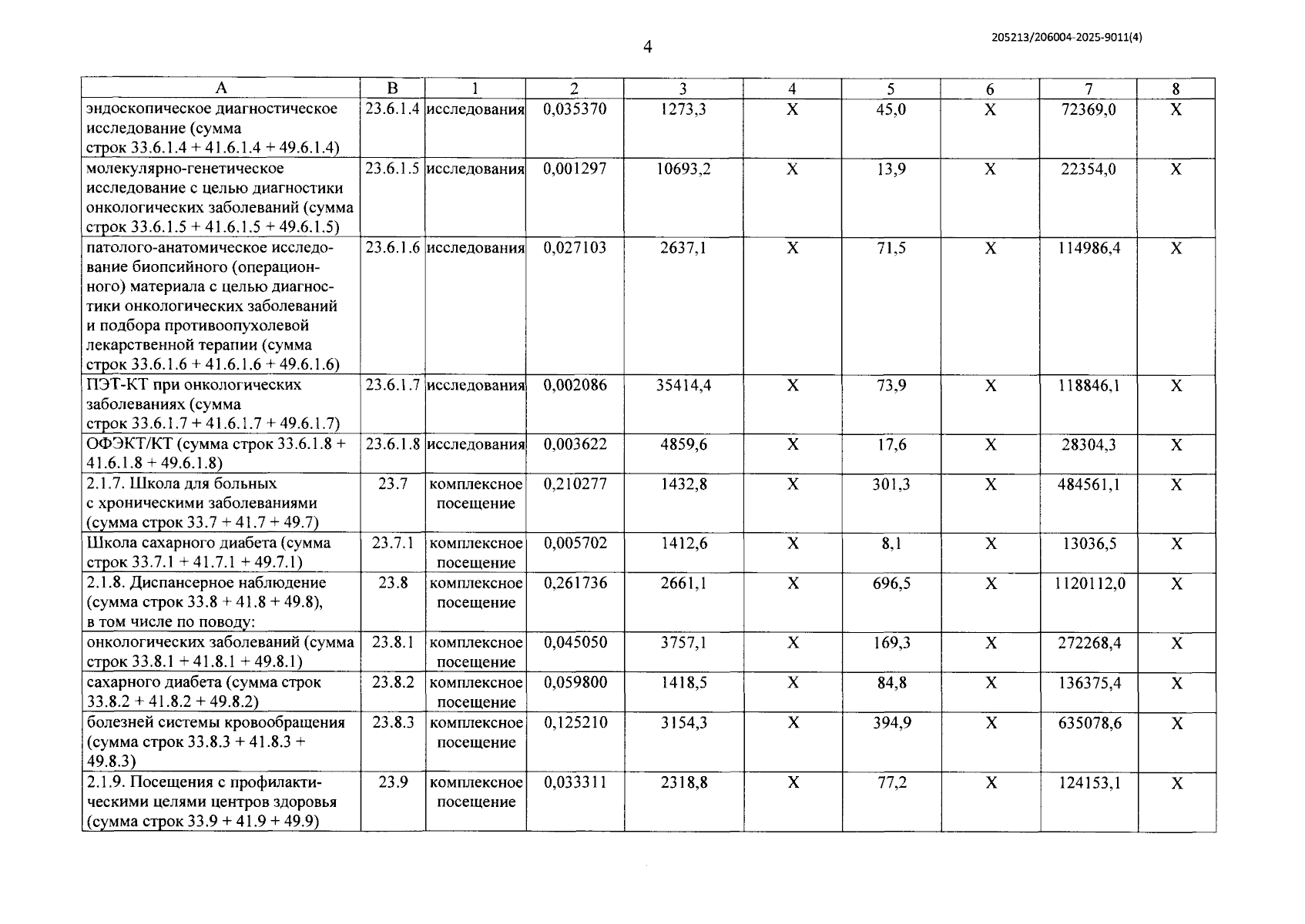
"О внесении изменений в постановление Правительства Ленинградской области от 28 декабря 2024 года № 1022 "О Территориальной программе государственных гарантий бесплатного оказания гражданам медицинской помощи в Ленинградской области на 2025 год и на плановый период 2026 и 2027 годов"
Номер опубликования: 4700202510210014
Дата опубликования: 21.10.2025
Страница №5 из 21:
Увеличить