Официальное опубликование правовых актов
ОФИЦИАЛЬНОЕ ОПУБЛИКОВАНИЕ
Постановление Правительства Ленинградской области от 20.08.2025 № 721
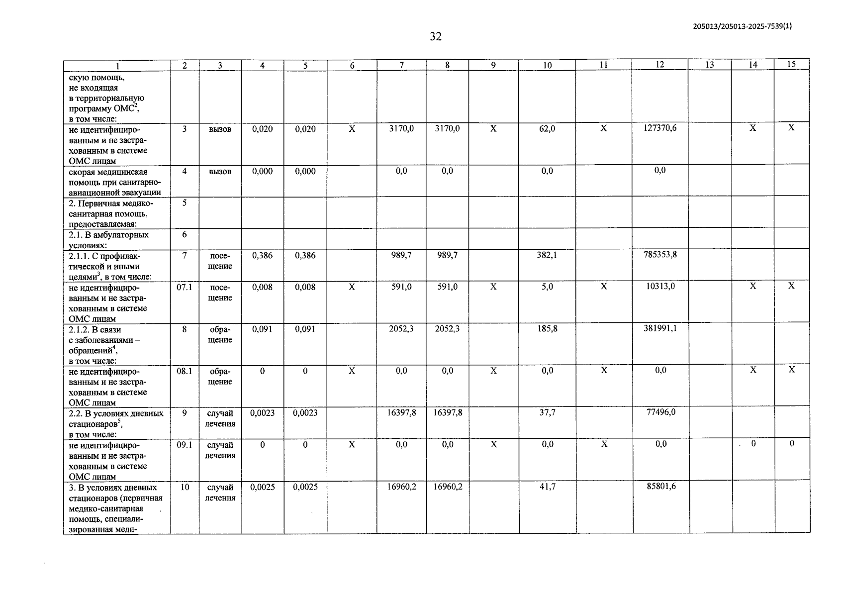
"О внесении изменений в постановление Правительства Ленинградской области от 28 декабря 2024 года № 1022 "О Территориальной программе государственных гарантий бесплатного оказания гражданам медицинской помощи в Ленинградской области на 2025 год и на плановый период 2026 и 2027 годов"
Номер опубликования: 4700202508260002
Дата опубликования: 26.08.2025
Страница №33 из 101:
Увеличить