Официальное опубликование правовых актов
ОФИЦИАЛЬНОЕ ОПУБЛИКОВАНИЕ
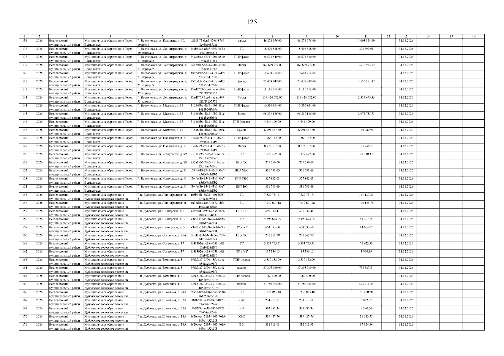
Постановление Правительства Ленинградской области от 11.08.2025 № 698
"О Краткосрочном плане реализации в 2026, 2027 и 2028 годах Региональной программы капитального ремонта общего имущества в многоквартирных домах, расположенных на территории Ленинградской области, на 2014 - 2052 годы"
Номер опубликования: 4700202508180001
Дата опубликования: 18.08.2025
Страница №126 из 224:
Увеличить