Официальное опубликование правовых актов
ОФИЦИАЛЬНОЕ ОПУБЛИКОВАНИЕ
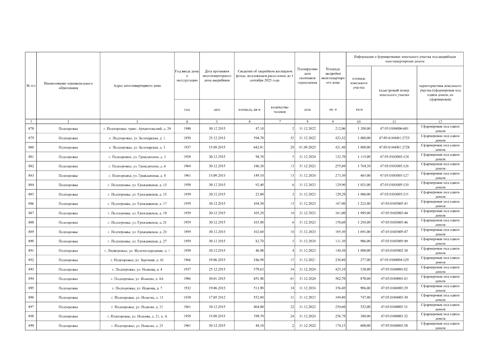
Постановление Правительства Ленинградской области от 17.07.2025 № 630
"О внесении изменений в постановление Правительства Ленинградской области от 14 июля 2023 года № 497 "Об утверждении региональной адресной программы "Переселение граждан из аварийного жилищного фонда на территории Ленинградской области в 2019 - 2025 годах" и признании утратившими силу отдельных постановлений Правительства Ленинградской области"
Номер опубликования: 4700202507230001
Дата опубликования: 23.07.2025
Страница №48 из 73:
Увеличить