Официальное опубликование правовых актов
ОФИЦИАЛЬНОЕ ОПУБЛИКОВАНИЕ
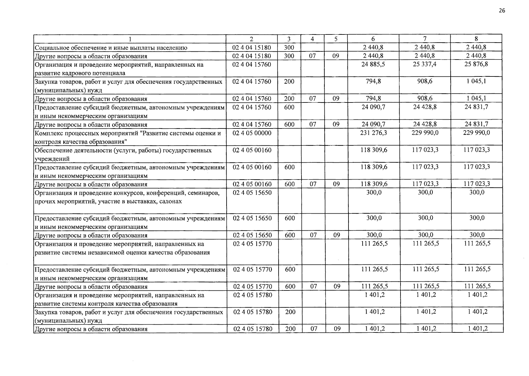
Закон Ленинградской области от 11.04.2025 № 28-оз
"О внесении изменений в областной закон "Об областном бюджете Ленинградской области на 2025 год и на плановый период 2026 и 2027 годов"
Номер опубликования: 4700202504150015
Дата опубликования: 15.04.2025
Страница №40 из 498:
Увеличить