Официальное опубликование правовых актов
ОФИЦИАЛЬНОЕ ОПУБЛИКОВАНИЕ
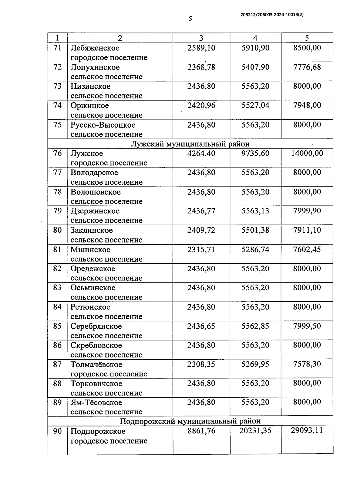
Постановление Правительства Ленинградской области от 02.12.2024 № 845
"О внесении изменения в постановление Правительства Ленинградской области от 8 ноября 2023 года № 777 "О распределении в 2024 году субсидии из областного бюджета Ленинградской области и поступивших в порядке софинансирования средств федерального бюджета бюджетам муниципальных образований Ленинградской области на реализацию программ формирования современной городской среды в рамках государственной программы Ленинградской области "Формирование городской среды и обеспечение качественным жильем граждан на территории Ленинградской области"
Номер опубликования: 4700202412090016
Дата опубликования: 09.12.2024
Страница №6 из 8:
Увеличить