Постановление Правительства Ленинградской области от 22.11.2024 № 824
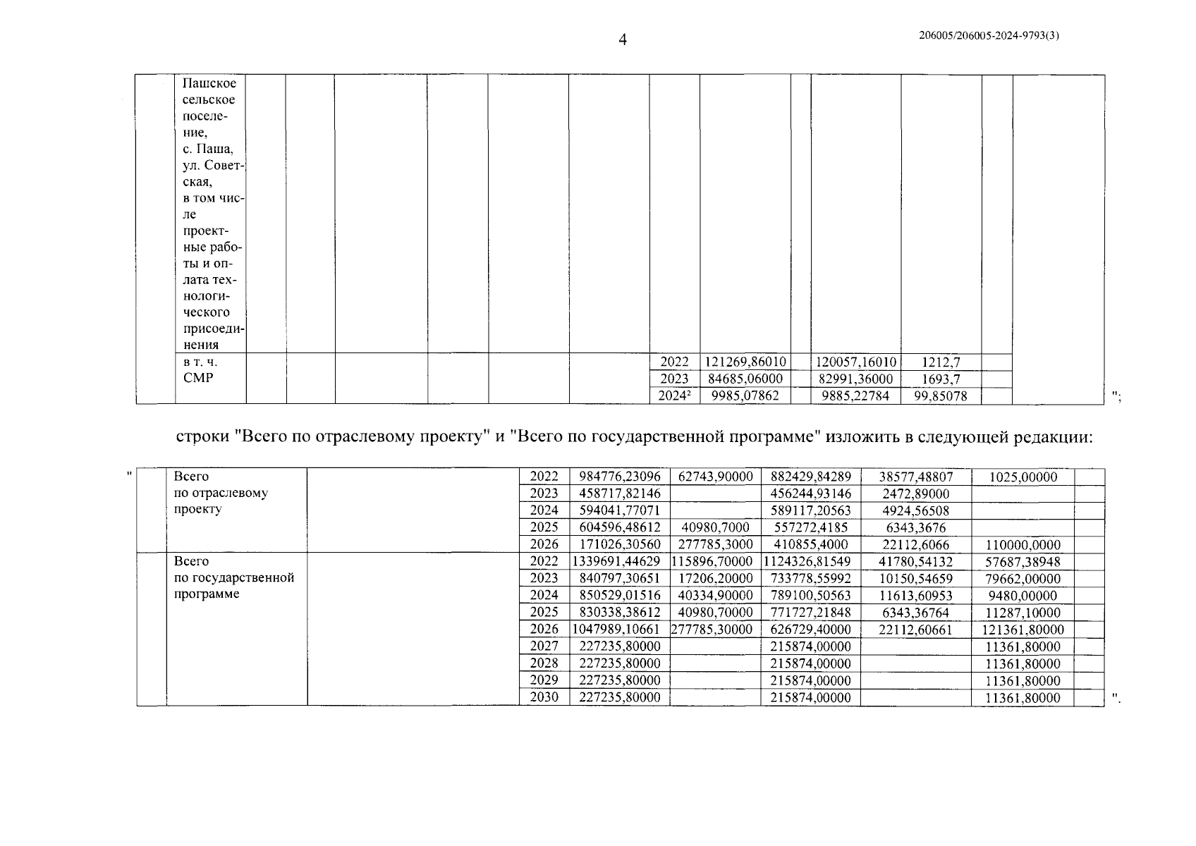
"О внесении изменений в постановление Правительства Ленинградской области от 7 февраля 2020 года № 44 "Об утверждении Перечня объектов и распределения субсидий из областного бюджета Ленинградской области бюджетам муниципальных образований Ленинградской области в рамках государственной программы Ленинградской области "Комплексное развитие сельских территорий Ленинградской области"
"О внесении изменений в постановление Правительства Ленинградской области от 7 февраля 2020 года № 44 "Об утверждении Перечня объектов и распределения субсидий из областного бюджета Ленинградской области бюджетам муниципальных образований Ленинградской области в рамках государственной программы Ленинградской области "Комплексное развитие сельских территорий Ленинградской области"
Номер опубликования: 4700202411270001
Дата опубликования:
27.11.2024
