Официальное опубликование правовых актов
ОФИЦИАЛЬНОЕ ОПУБЛИКОВАНИЕ
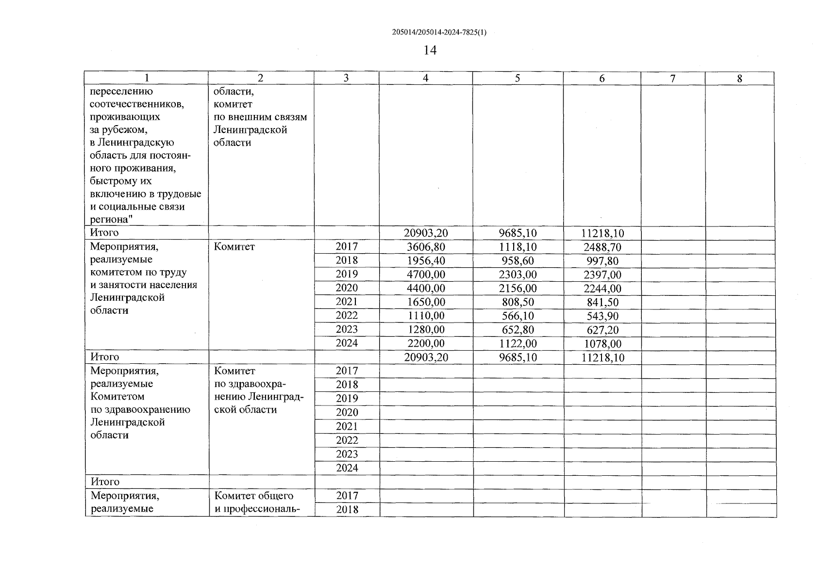
Постановление Правительства Ленинградской области от 19.09.2024 № 659
"О внесении изменений в постановление Правительства Ленинградской области от 7 декабря 2015 года № 466 "Об утверждении государственной программы Ленинградской области "Содействие занятости населения Ленинградской области"
Номер опубликования: 4700202409240002
Дата опубликования: 24.09.2024
Страница №15 из 17:
Увеличить