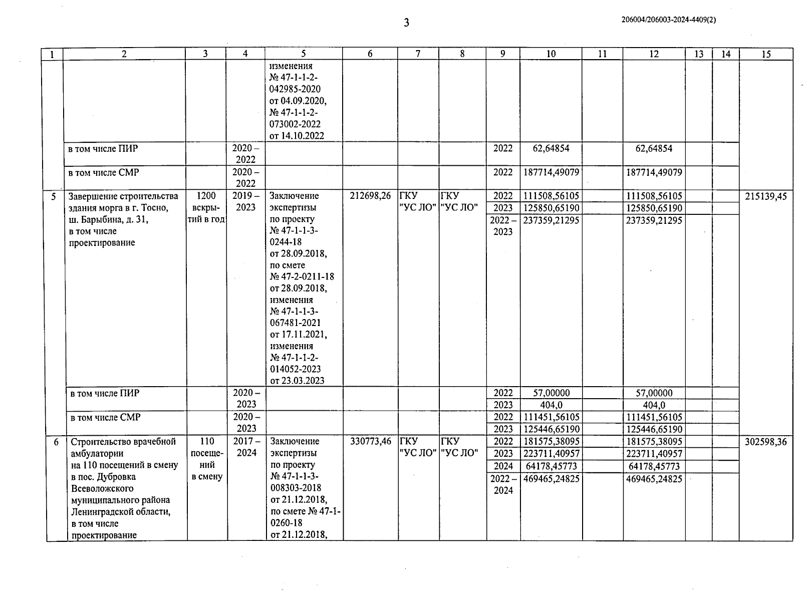
Постановление Правительства Ленинградской области от 10.06.2024 № 378
"О внесении изменения в постановление Правительства Ленинградской области от 18 июля 2016 года № 245 "Об утверждении Перечня объектов государственной программы Ленинградской области "Развитие здравоохранения в Ленинградской области"
"О внесении изменения в постановление Правительства Ленинградской области от 18 июля 2016 года № 245 "Об утверждении Перечня объектов государственной программы Ленинградской области "Развитие здравоохранения в Ленинградской области"
Номер опубликования: 4700202406180015
Дата опубликования:
18.06.2024
