Официальное опубликование правовых актов
ОФИЦИАЛЬНОЕ ОПУБЛИКОВАНИЕ
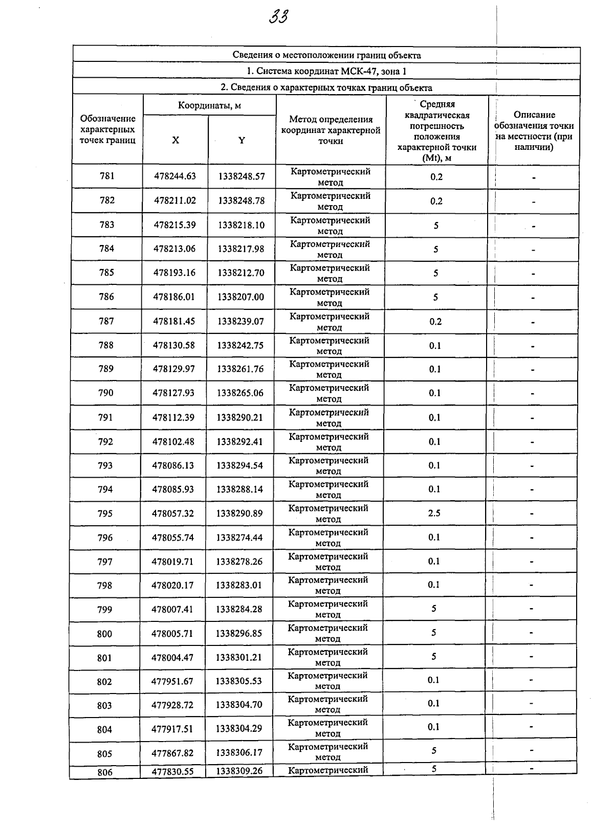
Постановление Правительства Ленинградской области от 10.06.2024 № 383
"О внесении изменений в Генеральный план муниципального образования "Рощинское городское поселение" Выборгского района Ленинградской области применительно к населенному пункту – поселку Лебяжье"
Номер опубликования: 4700202406180001
Дата опубликования: 18.06.2024
Страница №45 из 111:
Увеличить