Официальное опубликование правовых актов
ОФИЦИАЛЬНОЕ ОПУБЛИКОВАНИЕ
Постановление Правительства Ленинградской области от 25.04.2024 № 275
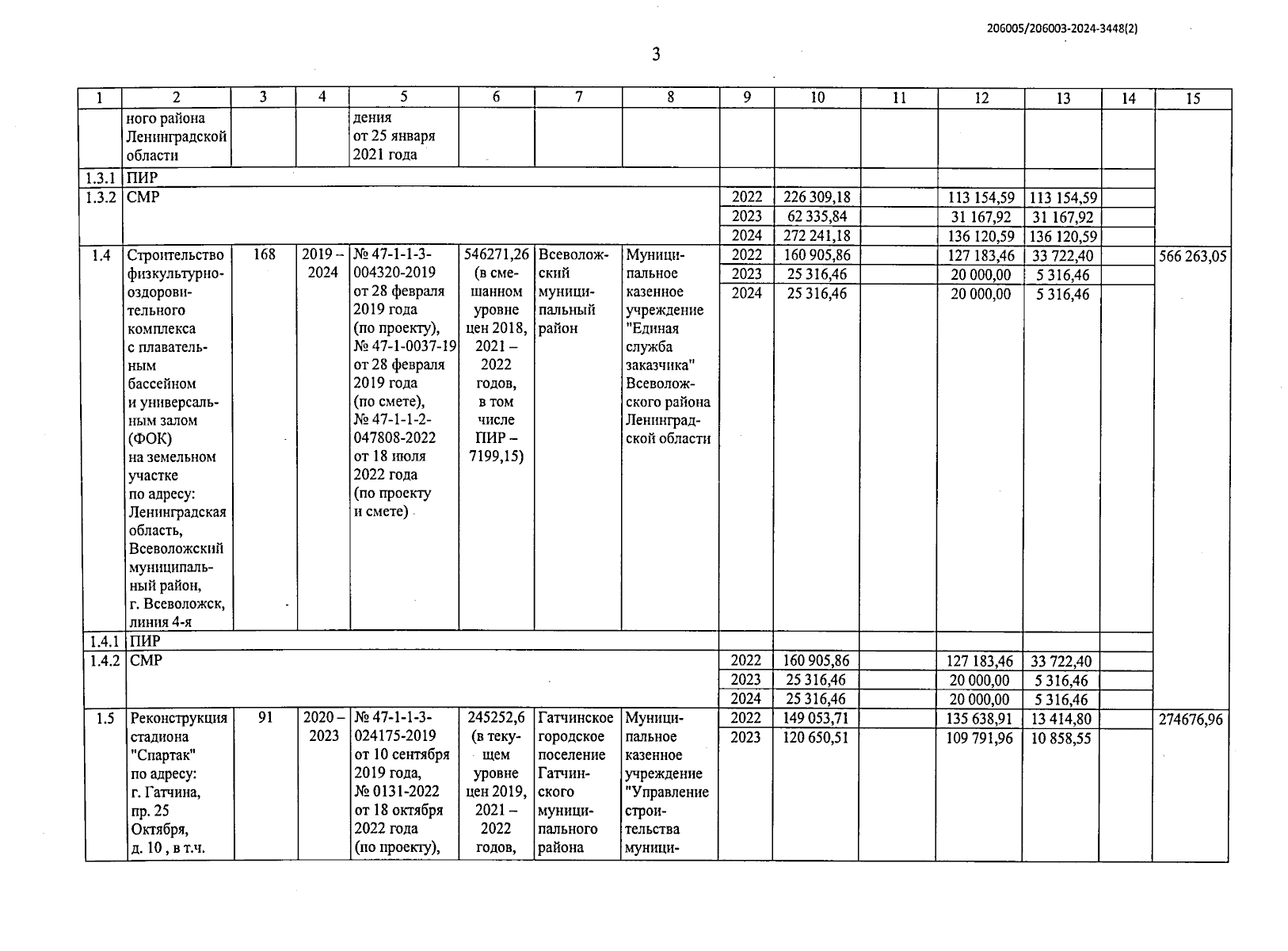
"О внесении изменений в постановление Правительства Ленинградской области от 27 ноября 2015 года № 444 "Об утверждении Перечня объектов и распределения субсидий из областного бюджета Ленинградской области бюджетам муниципальных образований Ленинградской области на реализацию мероприятий по строительству и реконструкции спортивных объектов в рамках государственной программы Ленинградской области "Развитие физической культуры и спорта в Ленинградской области"
Номер опубликования: 4700202405030001
Дата опубликования: 03.05.2024
Страница №4 из 37:
Увеличить