Официальное опубликование правовых актов
ОФИЦИАЛЬНОЕ ОПУБЛИКОВАНИЕ
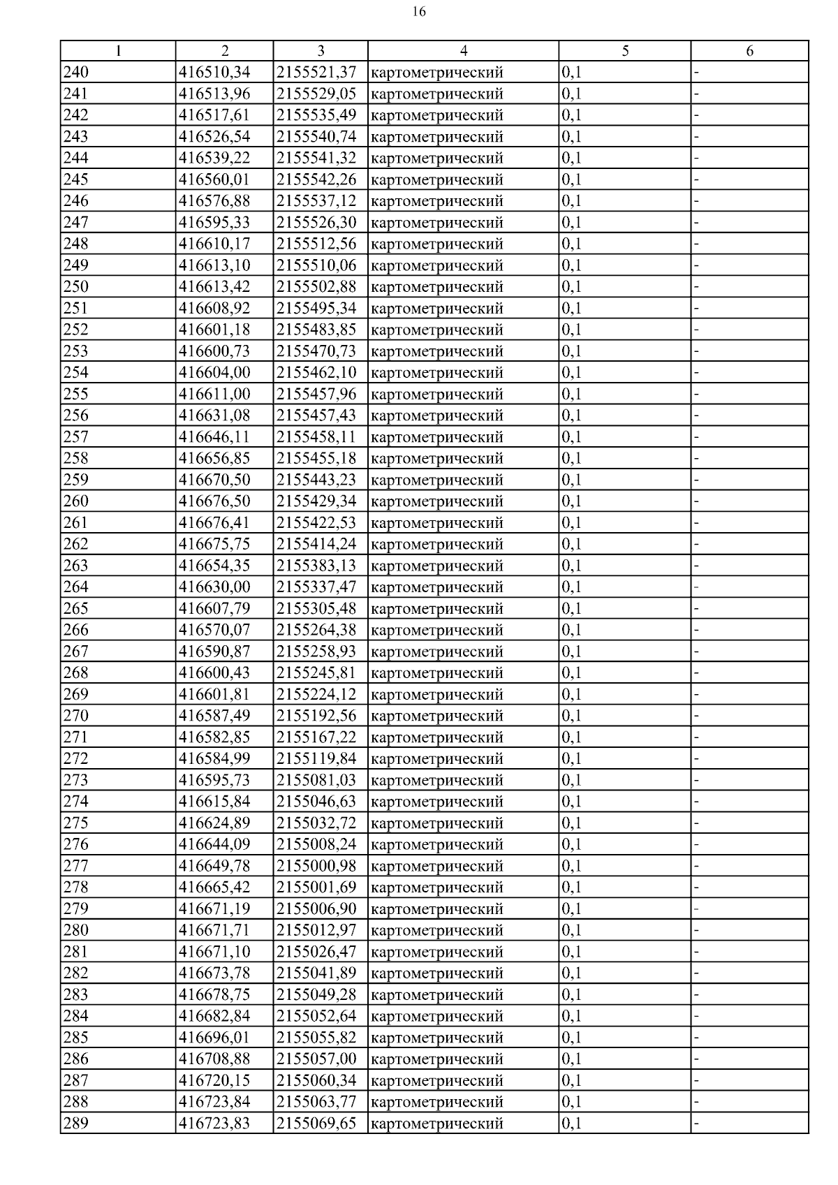
Постановление Правительства Ленинградской области от 17.01.2024 № 17
"О внесении изменений в Генеральный план муниципального образования Лопухинское сельское поселение муниципального образования Ломоносовский муниципальный район Ленинградской области"
Номер опубликования: 4700202401230002
Дата опубликования: 23.01.2024
Страница №45 из 153:
Увеличить