Официальное опубликование правовых актов
ОФИЦИАЛЬНОЕ ОПУБЛИКОВАНИЕ
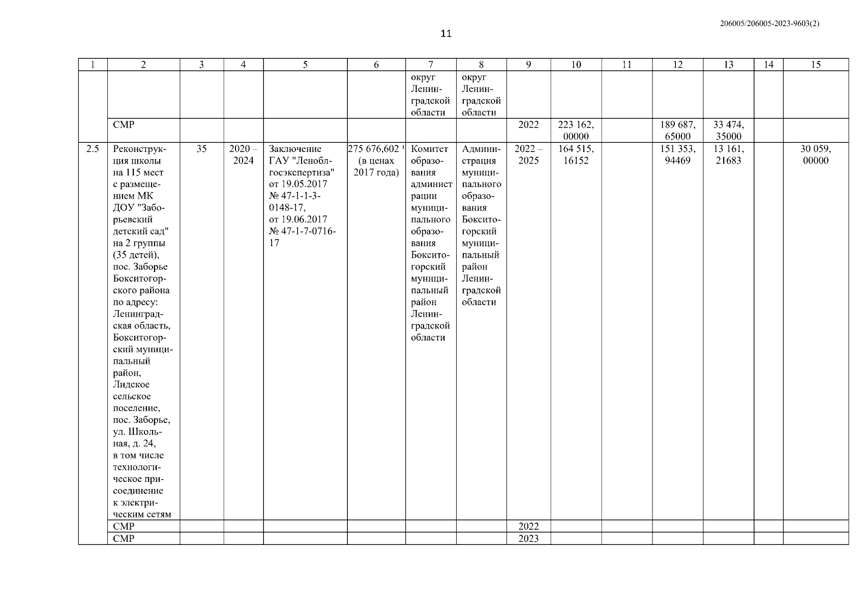
Постановление Правительства Ленинградской области от 17.11.2023 № 808
"О внесении изменений в постановление Правительства Ленинградской области от 2 февраля 2022 года № 66"
Номер опубликования: 4700202311220020
Дата опубликования: 22.11.2023
Страница №12 из 37:
Увеличить