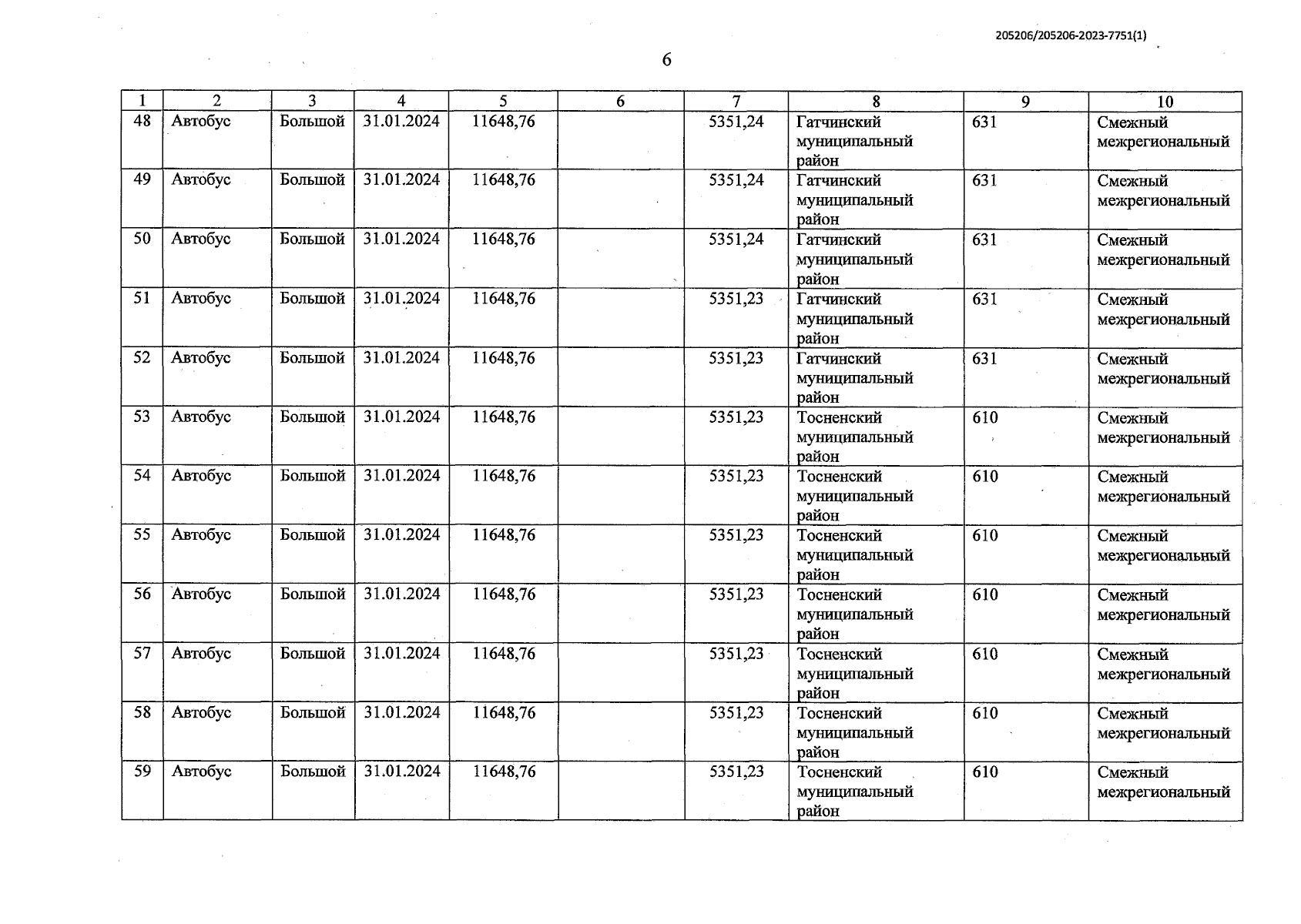
Постановление Правительства Ленинградской области от 29.09.2023 № 682
"Об утверждении детализированного перечня мероприятий по приобретению подвижного состава пассажирского транспорта общего пользования, источником финансового обеспечения расходов на реализацию которых являются специальные казначейские кредиты, на территории Ленинградской области"
"Об утверждении детализированного перечня мероприятий по приобретению подвижного состава пассажирского транспорта общего пользования, источником финансового обеспечения расходов на реализацию которых являются специальные казначейские кредиты, на территории Ленинградской области"
Номер опубликования: 4700202310060002
Дата опубликования:
06.10.2023
