Официальное опубликование правовых актов
ОФИЦИАЛЬНОЕ ОПУБЛИКОВАНИЕ
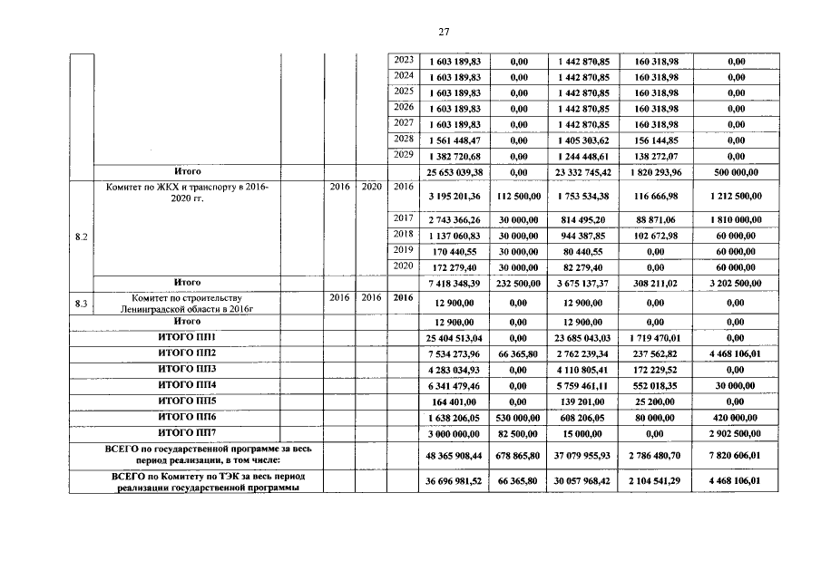
Постановление Правительства Ленинградской области от 25.08.2016 № 323
"О внесении изменений в постановление Правительства Ленинградской области от 14 ноября 2013 года № 400 "Об утверждении государственной программы Ленинградской области "Обеспечение устойчивого функционирования и развития коммунальной и инженерной инфраструктуры и повышение энергоэффективности в Ленинградской области"
Номер опубликования: 4700201608290004
Дата опубликования: 29.08.2016
Страница №28 из 29:
Увеличить