Официальное опубликование правовых актов
ОФИЦИАЛЬНОЕ ОПУБЛИКОВАНИЕ
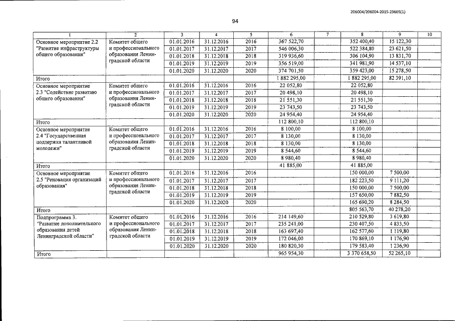
Постановление Правительства Ленинградской области от 24.12.2015 № 496
"О внесении изменений в постановление Правительства Ленинградской области от 14 ноября 2013 года № 398 "О государственной программе Ленинградской области "Современное образование Ленинградской области"
Номер опубликования: 4700201512280006
Дата опубликования: 28.12.2015
Страница №95 из 101:
Увеличить