Официальное опубликование правовых актов
ОФИЦИАЛЬНОЕ ОПУБЛИКОВАНИЕ
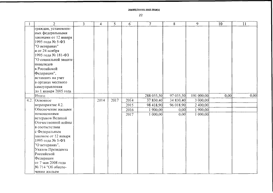
Постановление Правительства Ленинградской области от 20.04.2015 № 116
"О внесении изменений в постановление Правительства Ленинградской области от 14 ноября 2013 года № 407 "Об утверждении государственной программы Ленинградской области "Обеспечение качественным жильем граждан на территории Ленинградской области"
Номер опубликования: 4700201504270015
Дата опубликования: 27.04.2015
Страница №23 из 30:
Увеличить