Официальное опубликование правовых актов
ОФИЦИАЛЬНОЕ ОПУБЛИКОВАНИЕ
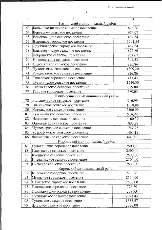
Постановление Правительства Ленинградской области от 13.04.2015 № 109
"О распределении в 2015 году субсидий из областного бюджета Ленинградской области бюджетам поселений Ленинградской области на реализацию проектов местных инициатив граждан в рамках подпрограммы "Создание условий для эффективного выполнения органами местного самоуправления своих полномочий" государственной программы Ленинградской области "Устойчивое общественное развитие в Ленинградской области"
Номер опубликования: 4700201504200004
Дата опубликования: 20.04.2015
Страница №4 из 6:
Увеличить