Официальное опубликование правовых актов
ОФИЦИАЛЬНОЕ ОПУБЛИКОВАНИЕ
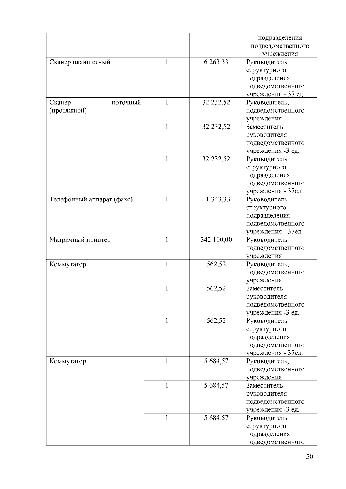
Приказ Министерства социального обеспечения, материнства и детства Курской области от 28.10.2025 № 387
"Об утверждении нормативных затрат на обеспечение функций министерства социального обеспечения, материнства и детства Курской области и областных казенных учреждений, подведомственных министерству социального обеспечения, материнства и детства Курской области на 2026 год"
(Зарегистрирован 29.10.2025 № 764.25.03)
Номер опубликования: 4601202511050001
Дата опубликования: 05.11.2025
Страница №51 из 314:
Увеличить