Официальное опубликование правовых актов
ОФИЦИАЛЬНОЕ ОПУБЛИКОВАНИЕ
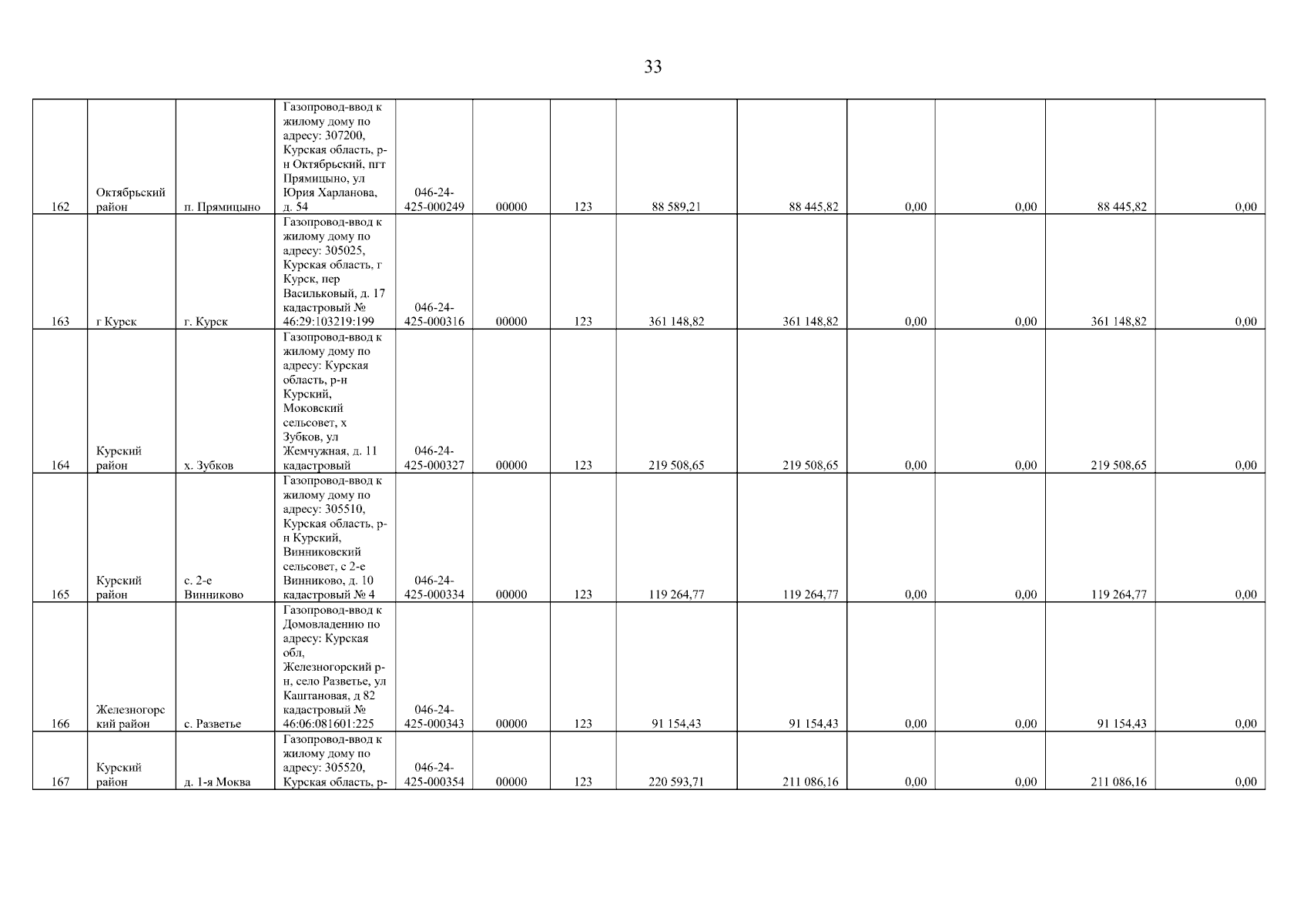
Постановление Министерства по тарифам и ценам Курской области от 30.09.2025 № 29
"Об установлении размера экономически обоснованных расходов АО "Газпром газораспределение Курск" в рамках догазификации за II квартал 2025 года"
(Зарегистрирован 30.09.2025 № 701.25.24)
Номер опубликования: 4601202510020001
Дата опубликования: 02.10.2025
Страница №35 из 95:
Увеличить