Приказ Министерства жилищно-коммунального хозяйства и ТЭК Курской области от 30.06.2025 № 100
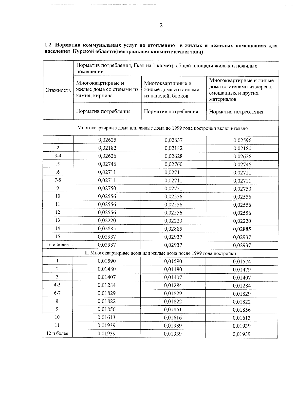
"об утверждении на территории Курской области для многоквартирных домов или жилых домов с аналогичными конструктивными и техническими параметрами, степенью благоустройства многоквартирного дома или жилого дома и климатическими условиями: нормативов потребления коммунальной услуги по отоплению в жилых и нежилых помещениях; нормативов потребления коммунальной услуги по отоплению в жилых и нежилых помещениях, по отоплению при использовании земельного участка и надворных построек"
(Зарегистрирован 08.07.2025 № 439.25.04)
"об утверждении на территории Курской области для многоквартирных домов или жилых домов с аналогичными конструктивными и техническими параметрами, степенью благоустройства многоквартирного дома или жилого дома и климатическими условиями: нормативов потребления коммунальной услуги по отоплению в жилых и нежилых помещениях; нормативов потребления коммунальной услуги по отоплению в жилых и нежилых помещениях, по отоплению при использовании земельного участка и надворных построек"
(Зарегистрирован 08.07.2025 № 439.25.04)
Номер опубликования: 4601202507110007
Дата опубликования:
11.07.2025
