Официальное опубликование правовых актов
ОФИЦИАЛЬНОЕ ОПУБЛИКОВАНИЕ
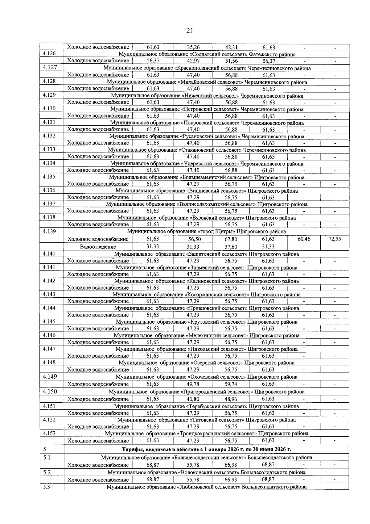
Постановление Комитета по тарифам и ценам Курской области от 28.11.2023 № 219-вод
"Об установлении долгосрочных параметров регулирования тарифов и тарифов на питьевую воду и водоотведение для АО "Курскоблводоканал" на 2024 - 2028 годы"
(Зарегистрирован 01.12.2023 № 1286.23.24)
Номер опубликования: 4601202312060027
Дата опубликования: 06.12.2023
Страница №29 из 60:
Увеличить