Официальное опубликование правовых актов
ОФИЦИАЛЬНОЕ ОПУБЛИКОВАНИЕ
Постановление Комитета по тарифам и ценам Курской области от 01.07.2019 № 27
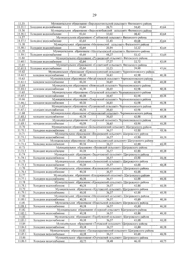
"О внесении изменений в постановление комитета по тарифам и ценам Курской области от 14 декабря 2018 г. №252 "Об установлении долгосрочных параметров регулирования тарифов и тарифов на питьевую воду и водоотведение для АО "Курскоблводоканал" на период 2019-2023 годы"
Номер опубликования: 4601201907040002
Дата опубликования: 04.07.2019
Страница №30 из 30:
Увеличить