Официальное опубликование правовых актов
ОФИЦИАЛЬНОЕ ОПУБЛИКОВАНИЕ
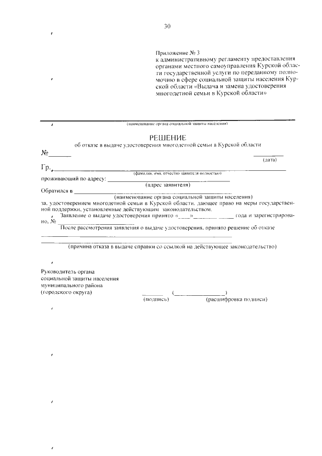
Приказ Комитета социального обеспечения Курской области от 06.03.2019 № 184
"О внесении изменений в Административный регламент предоставления органами местного самоуправления Курской области государственной услуги по переданному полномочию в сфере социальной защиты населения Курской области "Выдача и замена удостоверения многодетной семьи в Курской области"
Номер опубликования: 4601201903120006
Дата опубликования: 12.03.2019
Страница №31 из 47:
Увеличить