Официальное опубликование правовых актов
ОФИЦИАЛЬНОЕ ОПУБЛИКОВАНИЕ
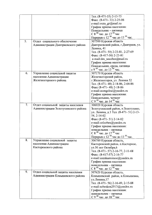
Приказ Комитета социального обеспечения Курской области от 19.02.2019 № 137 "О внесении изменений в Административный регламент по предоставлению органами местного самоуправления Курской области государственной услуги по переданным полномочиям в сфере социальной защиты населения Курской области "Предоставление ежемесячной денежной компенсации на питание детей в дошкольных образовательных организациях (специализированных детских учреждениях лечебного и санаторного типа), а также обучающихся в общеобразовательных организациях и профессиональных образовательных организациях"
Номер опубликования: 4601201902260007
Дата опубликования: 26.02.2019
Страница №49 из 60:
Увеличить