Официальное опубликование правовых актов
ОФИЦИАЛЬНОЕ ОПУБЛИКОВАНИЕ
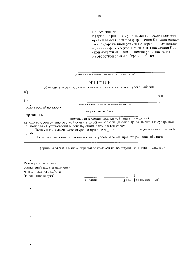
Приказ Комитета социального обеспечения Курской области от 15.01.2019 № 30 "Об утверждении Административного регламента комитета социального обеспечения Курской области по предоставлению органами местного самоуправления Курской области государственной услуги "Выдача и замена удостоверения многодетной семьи в Курской области"
Номер опубликования: 4601201901230007
Дата опубликования: 23.01.2019
Страница №32 из 48:
Увеличить