Официальное опубликование правовых актов
ОФИЦИАЛЬНОЕ ОПУБЛИКОВАНИЕ
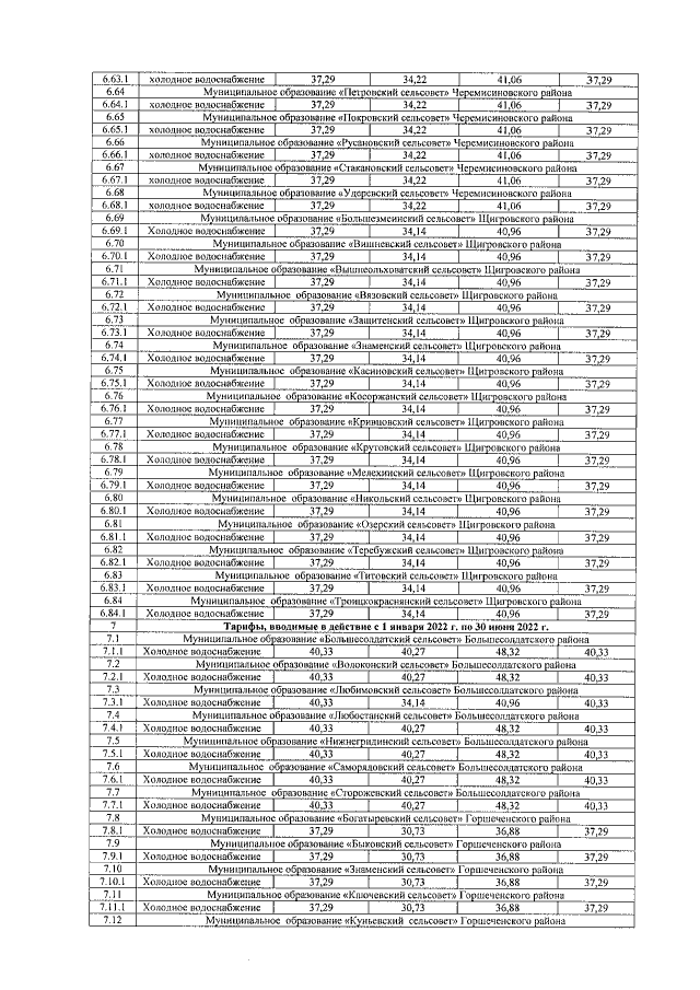
Постановление Комитета по тарифам и ценам Курской области от 14.12.2018 № 252
"Об установлении долгосрочных параметров регулирования тарифов и тарифов на питьевую воду и водоотведение для АО "Курскоблводоканал" на период 2019 - 2023 годы"
Номер опубликования: 4601201812200003
Дата опубликования: 20.12.2018
Страница №18 из 28:
Увеличить