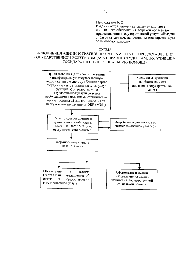
Приказ Комитета социального обеспечения Курской области от 01.11.2018 № 347 "Об утверждении административного регламента комитета социального обеспечения Курской области по предоставлению органами местного самоуправления Курской области государственной услуги "Выдача справок студентам, получившим государственную социальную помощь"
Номер опубликования: 4601201811060001
Дата опубликования:
06.11.2018
