Официальное опубликование правовых актов
ОФИЦИАЛЬНОЕ ОПУБЛИКОВАНИЕ
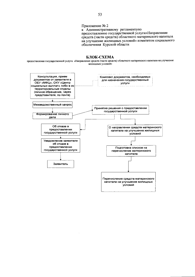
Приказ Комитета социального обеспечения Курской области от 24.10.2018 № 337 "О внесении изменений в Административный регламент комитета социального обеспечения Курской области по предоставлению государственной услуги "Направление средств (части средств) областного материнского капитала на улучшение жилищных условий"
Номер опубликования: 4601201810240002
Дата опубликования: 24.10.2018
Страница №54 из 60:
Увеличить