Официальное опубликование правовых актов
ОФИЦИАЛЬНОЕ ОПУБЛИКОВАНИЕ
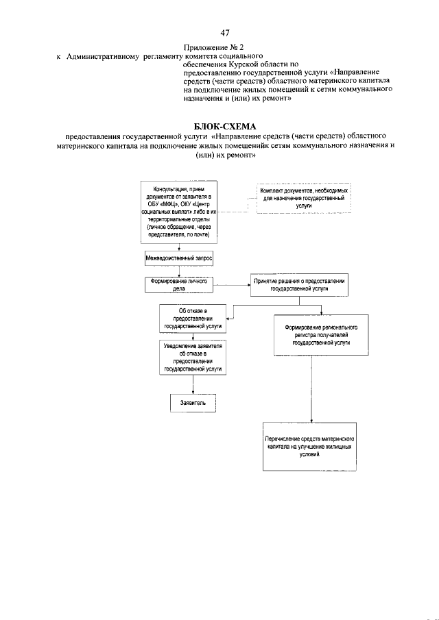
Приказ Комитета социального обеспечения Курской области от 22.10.2018 № 332 "О внесении изменений в Административный регламент комитета социального обеспечения Курской области по предоставлению государственной услуги "Направление средств (части средств) областного материнского капитала на подключение домовладений (квартир) к сетям коммунального назначения и (или) их ремонт"
Номер опубликования: 4601201810230008
Дата опубликования: 23.10.2018
Страница №47 из 54:
Увеличить