Официальное опубликование правовых актов
ОФИЦИАЛЬНОЕ ОПУБЛИКОВАНИЕ
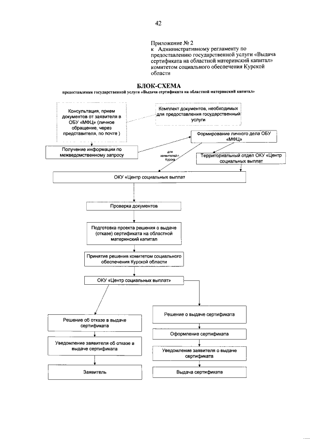
Приказ Комитета социального обеспечения Курской области от 22.10.2018 № 333 "О внесении изменений в Административный регламент комитета социального обеспечения Курской области по предоставлению государственной услуги "Выдача сертификата на областной материнский капитал"
Номер опубликования: 4601201810230006
Дата опубликования: 23.10.2018
Страница №43 из 52:
Увеличить