Официальное опубликование правовых актов
ОФИЦИАЛЬНОЕ ОПУБЛИКОВАНИЕ
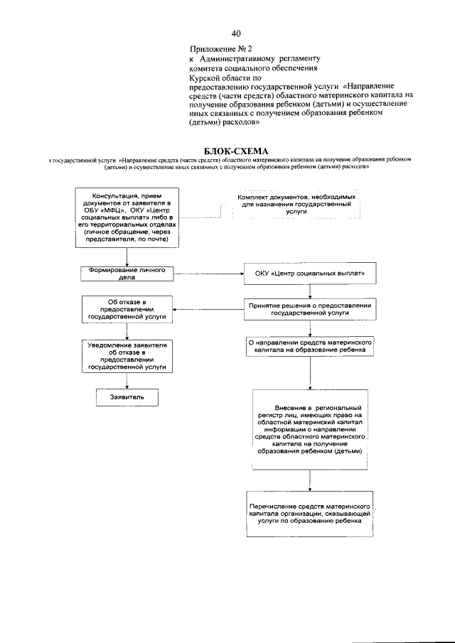
Приказ Комитета социального обеспечения Курской области от 16.10.2018 № 327 "О внесении изменений в Административный регламент комитета социального обеспечения Курской области "Направление средств (части средств) областного материнского капитала на получение образования ребенком (детьми) и осуществление иных связанных с получением образования ребенком (детьми) расходов"
Номер опубликования: 4601201810230003
Дата опубликования: 23.10.2018
Страница №41 из 47:
Увеличить