Официальное опубликование правовых актов
ОФИЦИАЛЬНОЕ ОПУБЛИКОВАНИЕ
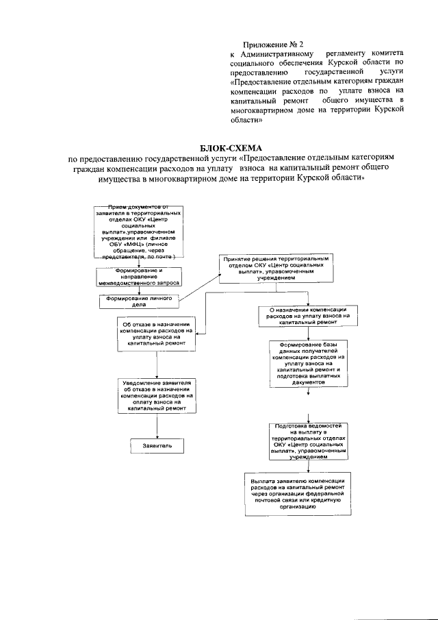
Приказ Комитета социального обеспечения Курской области от 16.10.2018 № 323 "О внесении изменений в Административный регламент комитета социального обеспечения Курской области по предоставлению государственной услуги "Предоставление отдельным категориям граждан компенсации расходов на уплату взноса на капитальный ремонт общего имущества в многоквартирном доме на территории Курской области"
Номер опубликования: 4601201810230002
Дата опубликования: 23.10.2018
Страница №48 из 56:
Увеличить