Официальное опубликование правовых актов
ОФИЦИАЛЬНОЕ ОПУБЛИКОВАНИЕ
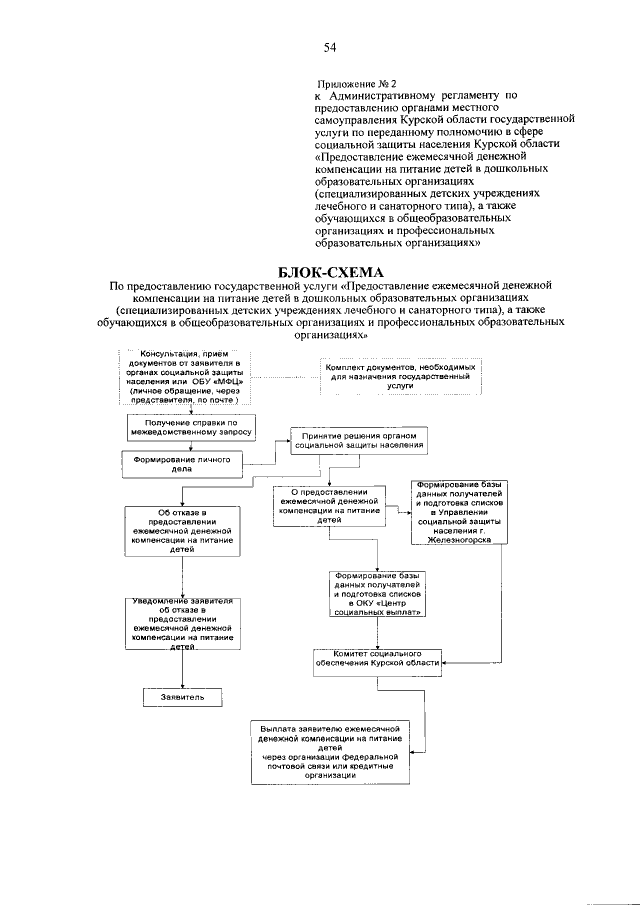
Приказ Комитета социального обеспечения Курской области от 15.10.2018 № 317 "О внесении изменений в Административный регламент по предоставлению органами местного самоуправления Курской области государственной услуги по переданным полномочиям в сфере социальной защиты населения Курской области "Предоставление ежемесячной денежной компенсации на питание детей в дошкольных образовательных организациях (специализированных детских учреждениях лечебного и санаторного типа), а также обучающихся в общеобразовательных организациях и профессиональных образовательных организациях"
Номер опубликования: 4601201810220005
Дата опубликования: 22.10.2018
Страница №55 из 62:
Увеличить